Форумы > Консультация по матанализу > Найти площадь

Поиск
Автор Сообщение
Салават #
24 фев 2009
Найти площадь фигуры, ограниченной данными кривыми: y=32-x^2; y=-4x.
О.А. #
25 фев 2009
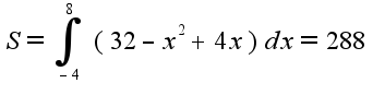
нарисуйте графики параболы и прямой, найдите точки пересечения, $S=\int_{-4}^{8}(32-x^2+4x)dx=288$

Форумы > Консультация по матанализу > Найти площадь
Чтобы написать сообщение, необходимо войти или зарегистрироваться