Форумы > Консультация по матанализу > помогите проверить потерянные решения

Поиск
Автор Сообщение
nastja #
8 дек 2013
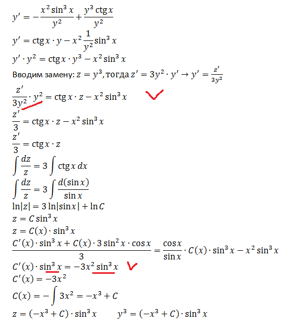
Здравствуйте, я решила диф.уравнение, но не знаю, как проверить потерянные решения помогите пожалуйста, будут ли y=0 и $sin^3(x)=0$ решениями???
  • Thumbnail is not available
    1280 x 110 24.1KB
nastja #
8 дек 2013
могу решение приложить, только помогите с потерянными решениями
  • Thumbnail is not available
    599 x 639 17.6KB

Форумы > Консультация по матанализу > помогите проверить потерянные решения
Чтобы написать сообщение, необходимо войти или зарегистрироваться