Поиск
| Автор | Сообщение |
|---|---|
|
Pavel
#
27 дек 2006 |
|
|
О.А.
#
27 дек 2006 |
|
|
Pavel
#
28 дек 2006 |
Чтобы написать сообщение, необходимо войти или зарегистрироваться

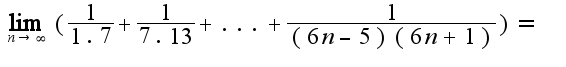
2),3,4 примеры решаются с использованием теоремы Вейерштрасса: надо доказать монотонность и ограниченность, подобные примеры решены на нашей консультации, например 4 пример:
ясно, что последовательность убывает, т.к.
, кроме того ограничена снизу числом ноль(
)поэтому сходится.Читайте учебники, можно посмотреть сборник задач по математическому анализу под редакцией Кудрявцева Л.Д. часть первая.