Форумы > Консультация по матанализу > Неопределенный интеграл

Поиск
Автор Сообщение
O1 #
22 дек 2012
Здравствуйте, Ольга Александровна.) Напомните пожалуйста. как решаются следующие интегралы: Int (x/(5-x^3))dx Заранее, спасибо)
o_a #
22 дек 2012
o_a
23 дек 2012
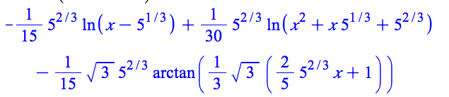
Здравствуйте. Сначала подинтегральное выражение надо разложить на сумму дробей $\frac{x}{5-x^3}=\frac{A}{5^{1/3}-x}+\frac{Bx+C}{x^2+5^{1/3}x+5^{2/3}}$Методом неопределенных коэффициентов найти A,B,C затем проинтегрировать, первый-это табличный интеграл, второй интегрируется заменой $x+5^{1/3}/2=t$
  • Thumbnail is not available
    635 x 138 15.3KB
O1 #
23 дек 2012
Спасибо большое)) Вспомнила)

Форумы > Консультация по матанализу > Неопределенный интеграл
Чтобы написать сообщение, необходимо войти или зарегистрироваться