Форумы > Консультация по матанализу > Д.у. ,допускающее понижение порядка

Поиск
Автор Сообщение
Luda #
20 дек 2012
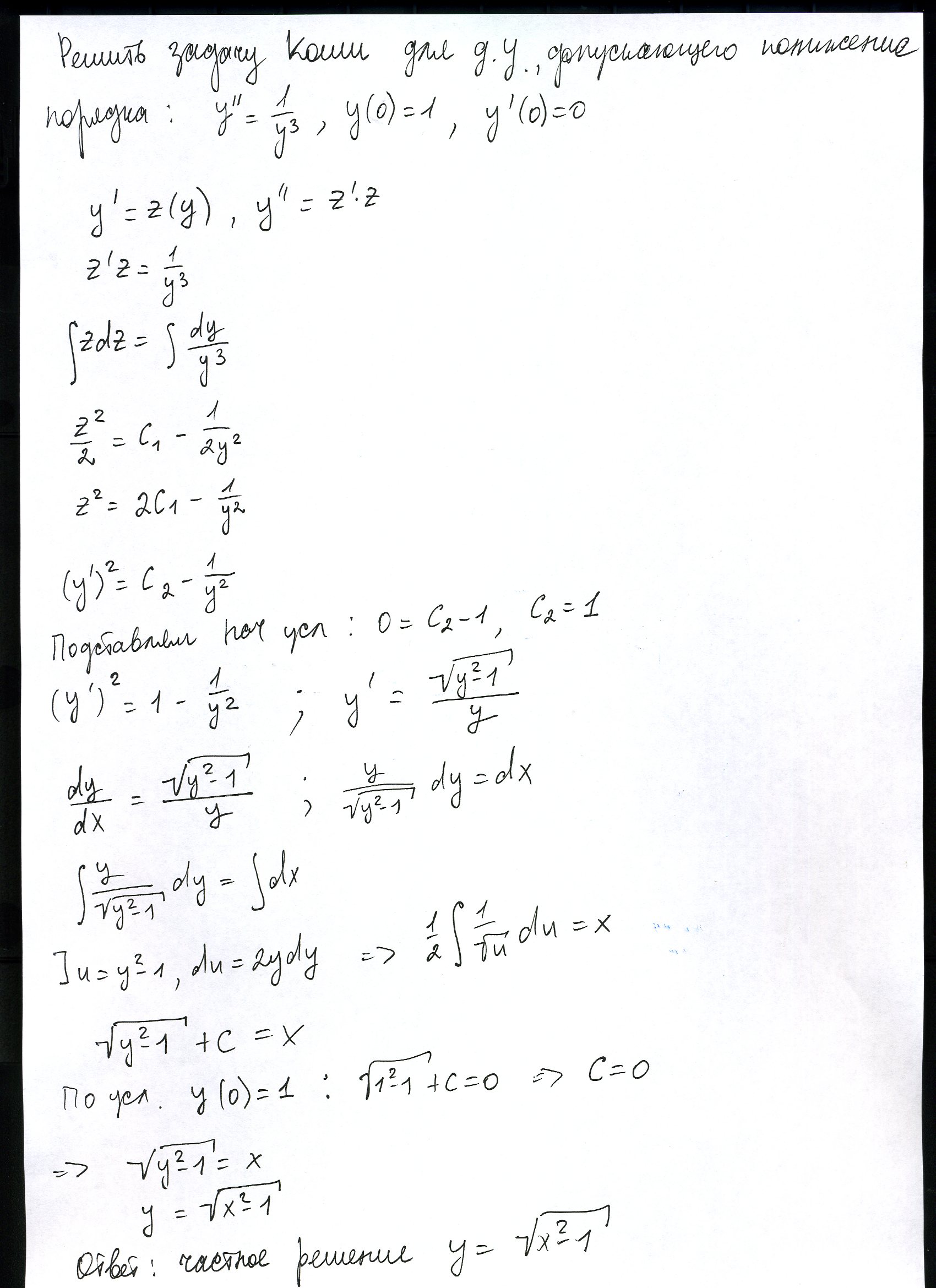
Здравствуйте! Могли бы Вы взглянуть правильно ли найдено решение? (и надо ли ставить плюс-минус после извлечения корня)
  • Thumbnail is not available
    1700 x 2339 339.8KB
o_a #
20 дек 2012
здравствуйте! решение почти правильное, на последнем этапе ошиблись со знаком,т.е. $y=\sqrt{1+x^2}$Чтобы понять, надо ли брать решение с минусом, подставьте в само уравнение, если получится тождество, то и второе значение является решением уравнения
Luda #
20 дек 2012
Спасибо огромное!!!!!

Форумы > Консультация по матанализу > Д.у. ,допускающее понижение порядка
Чтобы написать сообщение, необходимо войти или зарегистрироваться