Форумы > Консультация по матанализу > интегралы

Поиск
Автор Сообщение
nastja #
8 июн 2011
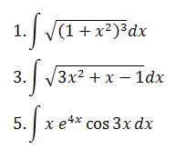
Здравствуйте, подскажите пожалуйста, с чего начать решение каждого из трёх интегралов
o_a #
8 июн 2011
здравствуйте 1) замена переменной $1+x^2=x^2t^2$ 2)$I=(Ax+B)\sqrt{3x^2+x-1}+k\int\frac{dx}{\sqrt{3x^2+x-1}}$затем дифференцируя обе части и сравнивая коэффициенты при одинаковых степенях $x$ слева и справа найти коэффициенты $A,B,k$ 3)метод неопределенных коэффициентов, например, или интегрирование по частям
nastja #
8 июн 2011
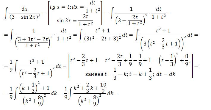
спасибо большое, с этими вроде разобралась, первый правда сделала с помощью гиперболических функций извините за мою наглость, не подскажите как этот решить: dx/(3-sin2x)^2 я пробовала через замену tgx=t но выходит опять нерешаемый интеграл (t^2+1)/(3t^2-2t+3)^2 что можно тут попробовать, если не ту замену?
o_a #
8 июн 2011
на мой взгляд лучший вариант-это замена $\tan x=t$для получения ответа преобразуйте выражение под интегралом
nastja #
9 июн 2011
здравствуйте, посмотрите пожалуйста, как я применила подстановку... что то зашла в тупик
o_a #
9 июн 2011
здравствуйте, для получения первообразной можно применить метод Остроградского$\int\frac{t^2+1}{(3t^2-2t+3)^2}=\frac{At+B}{3t^2-2t+3}+\int\frac{Ct+D}{3t^2-2t+3}$

Форумы > Консультация по матанализу > интегралы
Чтобы написать сообщение, необходимо войти или зарегистрироваться