Поиск
| Автор | Сообщение |
|---|---|
|
2131
#
17 фев 2006 |
|
|
О.А.
#
17 фев 2006 |
|
|
2131
#
24 фев 2006 |
|
|
О.А.
#
24 фев 2006 |
|
|
Любопытный человек
#
3 мар 2006 |
|
|
О.А.
#
4 мар 2006 |
Чтобы написать сообщение, необходимо войти или зарегистрироваться
;
2)
;
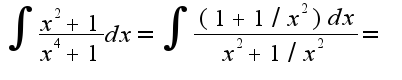
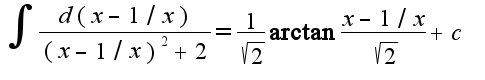
3)в данном примере нужно сделать замену переменной
;
4)
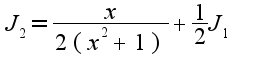
Поэтому
Здесь

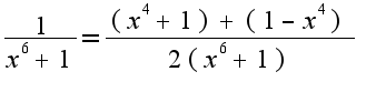
Данные первые два слагаемых легко проинтегрировать, последнее слагаемое надо разложить на простые дроби:
Легко найти коэффициенты:
Окончательно,
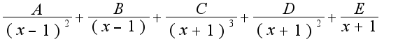
2)В данном примере либо разлагают на сумму пяти дробей
, либо применяют метод Остроградского (Ляшко И.И. и др. Математический анализ. К.,ч.1, с.381.)