Форумы > Консультация по матанализу > Интеграл

Поиск
Автор Сообщение
Марьяна #
20 ноя 2008
Ребят, помогите решить интеграл вида: dy/x(в квадрате) + t, где t-число
О.А. #
20 ноя 2008
А $x$чем является, интегрирование ведется по переменной $y$?
Марьяна #
20 ноя 2008
Поняла, что написала абсурд!=))) Интеграл выглядит так: dy/x(в квадрате)+ y(в квадрате)+1 . Интегрирование по игрек, вы правы.
О.А. #
20 ноя 2008
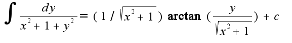
данный интеграл является табличным, формула:$\int\frac{dx}{x^2+a^2}=(1/a)\arctan(x/a)+c$для данного интеграла первообразная имеет вид$\int\frac{dy}{x^2+1+y^2}=(1/\sqrt{x^2+1})\arctan(\frac{y}{\sqrt{x^2+1}})+c$

Форумы > Консультация по матанализу > Интеграл
Чтобы написать сообщение, необходимо войти или зарегистрироваться