Форумы > Консультация по матанализу > Вычислить площадь фигуры, огран. линиями.

Поиск
Автор Сообщение
Наташа #
23 дек 2008
Здраствуйте, не могли бы помочь... Задание звучит так: Вычислить площадь фигуры, ограниченную линиями у=1\х; у=кореньх; у=2. построила схематично график, нашла точки ограничивающие фигуры х1=1\2; х2=1; х3=4, но никак не могу задать интеграл точнее я не понимаю какому интегралу равна площадь, понимаю как расставлять пределы, но какие функции складывать.... не могли бы помочь, решение не нужно, просто сам интеграл...
О.А. #
23 дек 2008
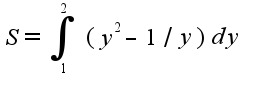
здравствуйте. Для расстановки пределов надо ориентироваться на график, фигура ограничена гиперболой, параболой и прямой, рациональнее интегрировать по переменной $y$, чтобы не разбивать область на сумму областей$S=\int_{1}^{2}(y^2-1/y)dy$
Наташа #
23 дек 2008
Юольшое спасибо:)

Форумы > Консультация по матанализу > Вычислить площадь фигуры, огран. линиями.
Чтобы написать сообщение, необходимо войти или зарегистрироваться